Στις λεπτομέρειες κρίθηκε το παιχνίδι της ανδρικής ομάδας με αντίπαλο τον Ήφαιστο/Αχιλλέα στο Κλειστό Δ. Τόφαλος. Το τελικό σκορ 63-66. Χρειάζεται όμως να μελετήσει κάποιος πολύ τον πίνακα της στατιστικής για να βρει απάντηση στο τι τελικά έγειρε το παιχνίδι στους φιλοξενούμενος.
Τα δεκάλεπτα: 18-14, 28-31 (10-17), 39-46 (11-15), 63-66 (24-20).
Αίαντας ΑΣΑΑ (Φραγκισκάτος): Βαρδίκος 10, Παπαμαστοράκης 2, Λάπας, Μπαράκος, Γουβελης 1, Στρέκλας 9, Δημόπουλος 13(1), Σταυρουλάκης 17(3), Δόνος 2, Τσουρούλας, Σίψας 6, Φραγκισκάτος 3.
Ήφαιστος/Αχιλλέας (Δουσκας): Μανωλόπουλος 9(1), Γαστουνιώτης 11(2), Ράπτης 4, Παπαδόπουλος 12, Ιατρόπουλος Ε. 2, Βαγενάς 7(1), Παπαναστασίου 9(1), Ιατρόπουλος Σ. 12(1), Σμοϊλης.
Διαιτητές: Τσακαλογιάννης Βασίλης, Ελ Άνυ Ντίμος.
Στατιστική του αγώνα
| Δείκτης | Αίαντας ΑΣΑΑ | ΗΦΑΙΣΤΟΣ ΑΧΙΛΛΕΑΣ ΣΦ | |
|---|---|---|---|
| 1 | Προσπάθειες για σουτ: | 56 | 59 |
| 2 | Ποσοστό αποτελεσματικότητας στην επίθεση: | 43 | 46 |
| 3 | Πλήθος ελεύθερων βολών: | 18 | 17 |
| 4 | Ποσοστό ευστοχίας στις βολές: | 83 | 71 |
| 5 | Λάθη: | 10 | 11 |
| 6 | Ποσοστό αμυντικών ριμπάουντ: | 65 | 73 |
| 7 | Ποσοστό επιθετικών ριμπάουντ: | 27 | 35 |
| 8 | Φάουλ: | 18 | 21 |
| 9 | Προσπάθειες μέσα από το ζωγραφιστό: | 22 | 29 |
| 11 | Επιθετική δεινότητα: | 100 | |
| 12 | Αμυντική δεινότητα: | 104 |
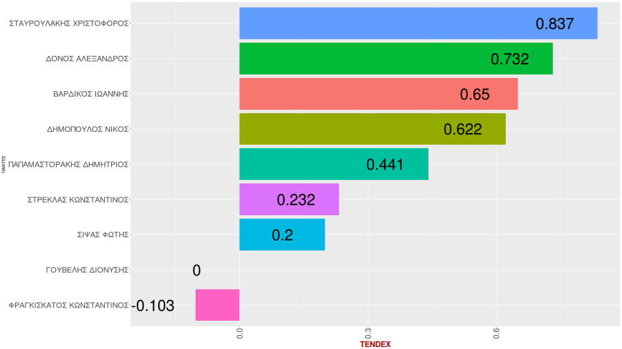
Αίαντας ΑΣΑΑ
| Δείκτης | Παίκτης | Τιμή | |
|---|---|---|---|
| 1 | Κατοχές (συνολικά) | ΣΤΑΥΡΟΥΛΑΚΗΣ ΧΡΙΣΤΟΦΟΡΟΣ | 14.7 |
| 2 | Επιτυχία στις κατοχές (ποσοστό) | ΔΟΝΟΣ ΑΛΕΞΑΝΔΡΟΣ | 100.0 |
| 3 | Επιθετική δεινότητα (πόντοι σε 100 κατοχές) | ΔΟΝΟΣ ΑΛΕΞΑΝΔΡΟΣ | 208.4 |
| 4 | Αμυντική δεινότητα (πόντοι σε 100 κατοχές) | ΣΤΑΥΡΟΥΛΑΚΗΣ ΧΡΙΣΤΟΦΟΡΟΣ | 110.0 |
| 5 | Διαχείριση παιχνιδιού (κοντά στο 20) | ΦΡΑΓΚΙΣΚΑΤΟΣ ΚΩΝΣΤΑΝΤΙΝΟΣ | 20.2 |
| 6 | Δείκτης παραγωγής παιχνιδιού (δείκτης) | ΣΤΑΥΡΟΥΛΑΚΗΣ ΧΡΙΣΤΟΦΟΡΟΣ | 20.9 |
| 7 | Αληθινό ποσοστό ευστοχίας (ποσοστό) | ΠΑΠΑΜΑΣΤΟΡΑΚΗΣ ΔΗΜΗΤΡΙΟΣ | 100.0 |
| 8 | Αληθινό ποσοστό ευστοχίας (ποσοστό) | ΔΟΝΟΣ ΑΛΕΞΑΝΔΡΟΣ | 100.0 |
| 9 | Αποτελεσματικότητα στα σουτ 2π/3π (ποσοστό) | ΠΑΠΑΜΑΣΤΟΡΑΚΗΣ ΔΗΜΗΤΡΙΟΣ | 100.0 |
| 10 | Αποτελεσματικότητα στα σουτ 2π/3π (ποσοστό) | ΔΟΝΟΣ ΑΛΕΞΑΝΔΡΟΣ | 100.0 |
| 11 | Ριμπάουντ (ποσοστό) | ΔΟΝΟΣ ΑΛΕΞΑΝΔΡΟΣ | 26.7 |
| 12 | Αμυντικά Ριμπάουντ (ποσοστό) | ΒΑΡΔΙΚΟΣ ΙΩΑΝΝΗΣ | 29.2 |
| 13 | Επιθετικά Ριμπάουντ (ποσοστό) | ΔΟΝΟΣ ΑΛΕΞΑΝΔΡΟΣ | 59.1 |
| 14 | Aσίστ (ποσοστό) | ΦΡΑΓΚΙΣΚΑΤΟΣ ΚΩΝΣΤΑΝΤΙΝΟΣ | 33.3 |
| 15 | Κλεψίματα (ποσοστό) | ΣΤΑΥΡΟΥΛΑΚΗΣ ΧΡΙΣΤΟΦΟΡΟΣ | 8.2 |
| 16 | Κοψίματα (ποσοστό) | ΣΤΑΥΡΟΥΛΑΚΗΣ ΧΡΙΣΤΟΦΟΡΟΣ | 11.6 |
| 17 | Λάθη (ποσοστό) | ΠΑΠΑΜΑΣΤΟΡΑΚΗΣ ΔΗΜΗΤΡΙΟΣ | 50.0 |
Ήφαιστος Αχιλλέας
| Δείκτης | Παίκτης | Τιμή | |
|---|---|---|---|
| 1 | Κατοχές (συνολικά) | ΠΑΠΑΔΟΠΟΥΛΟΣ Β. | 12.6 |
| 2 | Επιτυχία στις κατοχές (ποσοστό) | ΓΑΣΤΟΥΝΙΩΤΗΣ Ν. | 80.6 |
| 3 | Επιθετική δεινότητα (πόντοι σε 100 κατοχές) | ΓΑΣΤΟΥΝΙΩΤΗΣ Ν. | 183.0 |
| 4 | Αμυντική δεινότητα (πόντοι σε 100 κατοχές) | ΓΑΣΤΟΥΝΙΩΤΗΣ Ν. | 106.7 |
| 5 | Διαχείριση παιχνιδιού (κοντά στο 20) | ΠΑΠΑΝΑΣΤΑΣΙΟΥ Ν. | 19.8 |
| 6 | Δείκτης παραγωγής παιχνιδιού (δείκτης) | ΓΑΣΤΟΥΝΙΩΤΗΣ Ν. | 15.5 |
| 7 | Αληθινό ποσοστό ευστοχίας (ποσοστό) | ΓΑΣΤΟΥΝΙΩΤΗΣ Ν. | 115.5 |
| 8 | Αποτελεσματικότητα στα σουτ 2π/3π (ποσοστό) | ΓΑΣΤΟΥΝΙΩΤΗΣ Ν. | 100.0 |
| 9 | Ριμπάουντ (ποσοστό) | ΓΑΣΤΟΥΝΙΩΤΗΣ Ν. | 16.3 |
| 10 | Αμυντικά Ριμπάουντ (ποσοστό) | ΙΑΤΡΟΠΟΥΛΟΣ Ε. | 25.9 |
| 11 | Επιθετικά Ριμπάουντ (ποσοστό) | ΠΑΠΑΔΟΠΟΥΛΟΣ Β. | 12.1 |
| 12 | Aσίστ (ποσοστό) | ΓΑΣΤΟΥΝΙΩΤΗΣ Ν. | 45.7 |
| 13 | Κλεψίματα (ποσοστό) | ΓΑΣΤΟΥΝΙΩΤΗΣ Ν. | 2.4 |
| 14 | Λάθη (ποσοστό) | ΡΑΠΤΗΣ Γ. | 28.2 |







